一、 仪器型号

FT 1230 HERA DLTS System
德国Phystech公司HERA-DLTS深能级缺陷测量系统
二、 测试流程
1. 基本原理
a) 对PN结施加反向偏置电压,耗尽区扩大,理论上,此时耗尽区不应存在任何载流子,但由于半导体材料本身的缺点和器件制造工艺的问题,仍然有残留的载流子存在,需要进一步排除;
b) 对已经加了偏置的PN结,继续施加反向脉冲.耗尽区内残留的载流子被在电场驱动下,进入费米能级以下的深能级的缺陷区域;
c) 脉冲结束后,进入载流子重新回到费米能级以上的浅能级区域,并对外释放能量;
d) 在前三个过程中,如果在深能级存在缺陷,则载流子的运动,会从器件的电容变化中得到反应但,由于深能级下载流子的变化很小,需要使用双路输入的等差数字电容测试仪,将电容的瞬态变化进行数字化存储留待稍后分析。
2.对电容瞬态的采样原理
3.测试原理
使用上述多种内置种采样函数,对每一个温度点的每一种测试条件进行采样并得到如下页图所示的变温扫描曲线,
此图中采用b1采样函数,从数学上来讲,采样函数实质上相当于成为两个函数的耦合,也可以成为耦合曲线而得到的数据.
由于半导体器件内部的载流子会在不同的能级上面来回跳动,因此浅能级的必须要被降低能量,从而避免对真正的深能级造成影响,根据载流子温度越低,活跃性越差的特点,进行变温扫描测试.
同时, DLTS主机内建的测试电路,会根据被测器件的特性,可设置最多18种测试条件,比如电压,电流,频率,光照等,还会受到器件的PN结厚度,面积等影响,而进行反复测试.
此处引用的变温曲线是在b1耦合,可以在软件中操作,进行其他耦合函数的数据和曲线呈现.
DLTS measurements:
对变温扫描曲线进行解析,得到如图所示的Arrhenius拟合线,通过对该拟合线的分析,得到变温扫描测试下的深能级缺陷。
三、 测试类型
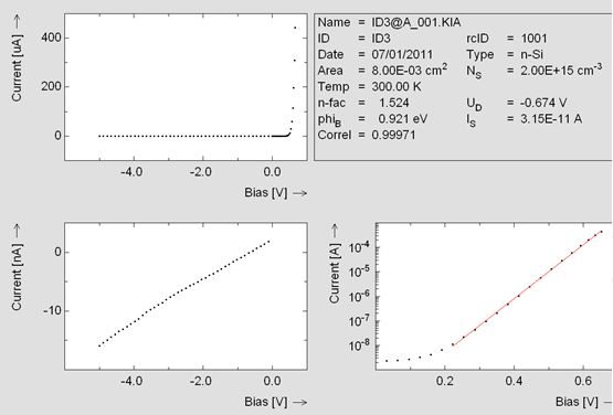
1. Voltage dependant measurements
2.俘获面测试
前述变温测试是最基础的测试,系统还可以进行直接测试,MOSFET和俘获面测试等多种DLTS测试,得到不同条件下的深能级缺陷。
3、五种晶圆DLTS测试
四、 制样要求
样品可以是:1、肖特基结构;2、P/N结结构(p/n+或者n/p+);3、MIS(MOS)结构。
测试温度300K-700K,最好提供样品结构示意图。
五、 测试需要提供参数
1、样品标注正负极;
2、电流,电压最大值;
3、结的面积。对于肖特基,即肖特基金属的面积;对于PN结,即PN结的面积,对于MIS(MOS),即栅介质上金属的面积;由于测试探针针尖面积约500平方微米,故要求结的面积要大于针尖面积。
1


